Otimização numérica
- Essa seção tem o objetivo para dar uma intuição sobre métodos de otimização.
- Veremos os métodos de grid search e gradient ascent (descent) que representam famílias de métodos de otimização.
Grid Search
- O método mais simples de otimização numérica é o grid search (discretização).
- Como o R não lida com problemas com infinitos valores, uma forma lidar com isso é discretizando diversos possíveis valores dos parâmetros de escolha dentro de intervalos.
- Para cada possível combinação de parâmetros, calculam-se diversos valores a partir da função objetivo. De todos os valores calculados, escolhe-se a combinação de parâmetros que maximizam (ou minimizam) a função objetivo.
- O exemplo abaixo considera apenas um parâmetro de escolha $\theta$ e, para cada ponto escolhido dentro do intervalo $[-1, 1]$, calcula-se a função objetivo:

- Este é um método robusto a funções com descontinuidades e quinas (não diferenciáveis), e menos sensível a chutes de valores iniciais. (ver método abaixo)
- Porém, este método fica preciso apenas com maiores quantidades de pontos e, como é necessário fazer o cálculo da função objetivo para cada ponto, o grid search tende a ser menos eficiente computacionalmente (demora mais tempo para calcular).
Gradient Ascent (Descent)
- Conforme o número de parâmetros do modelo cresce, aumenta o número de possíveis combinações entre parâmetros e torna o processo computacional cada vez mais lento.
- Uma forma mais eficiente de encontrar o conjunto de parâmetros que otimizam a função objetivo é por meio do método gradient ascent (descent).
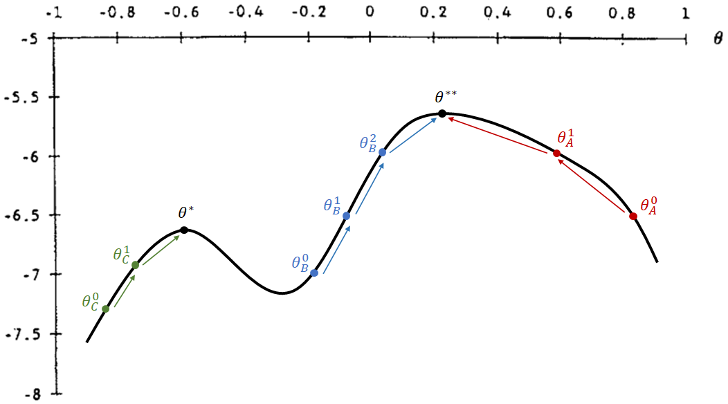
- Queremos encontrar o ${\theta}^{**}$ que é o parâmetro que maximiza globalmente a função objetivo
- Passos para encontrar um máximo:
- Comece com algum valor inicial de parâmetro, ${\theta}^0$
- Calcula-se a derivada e avalia-se a possibilidade de “andar para cima” a um valor mais alto
- Caso possa, ande na direção correta a ${\theta}^1$
- Repita os passos (2) e (3), andando para um novo ${\theta}^2, {\theta}^3, ...$ até atingir um ponto máximo cuja derivada é igual a zero.

- Note que esse método de otimização é sensível ao parâmetro inicial e às descontinuidades da função objetivo.
- No exemplo, se os chutes iniciais forem ${\theta}^0_A$ ou ${\theta}^0_B$, então consegue atingir o máximo global.
- Já se o chute inicial for ${\theta}^0_C$, então ele acaba atingindo um máximo local com ${\theta}^*$ (menor do que o máximo global em ${\theta}^{**}$).
- Por outro lado, é um método mais eficiente, pois calcula-se a função objetivo uma vez a cada passo, além de ser mais preciso nas estimações.
Encontrando MQO por diferentes estratégias
- Nesta seção, encontraremos as estimativas de MQO usando as estratégias da (a) minimização da função perda, de (b) máxima verossimilhança e de (c) método dos momentos.
- Em cada uma delas, usaremos uma função objetivo distinta para encontrar o vetor com dois parâmetros,
$ \boldsymbol{\theta} = \{ \beta_0, \beta_1 \} $, que a otimiza. No R, vamos chamar esse vetor de
params.
Base mtcars
É necessário carregar o pacote dplyr para manipulação da base de dados abaixo.
library(dplyr)
Usaremos dados extraídos da Motor Trend US magazine de 1974, que analisa o consumo de combustível e 10 aspectos técnicos de 32 automóveis.
No R, a base de dados já está incorporada ao programa e pode ser acessada pelo código mtcars, contendo a seguinte estrutura:
- mpg: milhas por galão
- hp: cavalos-vapor bruto
Queremos estimar o seguinte modelo: $$ \text{mpg} = \beta_0 + \beta_1 \text{hp} + \varepsilon $$
## Regressao MQO
reg = lm(formula = mpg ~ hp, data = mtcars)
summary(reg)$coef
## Estimate Std. Error t value Pr(>|t|)
## (Intercept) 30.09886054 1.6339210 18.421246 6.642736e-18
## hp -0.06822828 0.0101193 -6.742389 1.787835e-07
(a) Minimização da função perda
- A função perda adotada pela Teoria da Decisão é a função de soma dos quadrados dos resíduos
- Por essa estratégia, queremos encontrar as estimativas, $\boldsymbol{\theta} = \{ \hat{\beta}_0,\ \hat{\beta}_1 \}$, que minimizam essa função.
1. Criar função perda que calcula a soma dos resíduos quadráticos
- A função para calcular a soma dos resíduos quadráticos recebe como inputs:
- um vetor de possíveis valores $\boldsymbol{\theta} = \{ \hat{\beta}_0,\ \hat{\beta}_1 \}$
- um texto com o nome da variável dependente
- um vetor de texto com os nomes dos regressores
- uma base de dados
resid_quad = function(params, yname, xname, data) {
# Extraindo as variáveis da base em vetores
y = as.matrix(data[yname])
x = as.matrix(data[xname])
# Extraindo os parâmetros de params
b0 = params[1]
b1 = params[2]
sig2 = params[3]
yhat = b0 + b1 * x # valores ajustados
e_hat = y - yhat # desvios = observados - ajustados
sum(e_hat^2)
}
2. Otimização
- Agora encontraremos os parâmetros que minimizam a função perda
- Para isto usaremos a função
optim()que retorna os parâmetros que minimizam uma função (equivalente ao argmin):
optim(par, fn, gr = NULL, ...,
method = c("Nelder-Mead", "BFGS", "CG", "L-BFGS-B", "SANN", "Brent"),
lower = -Inf, upper = Inf,
control = list(), hessian = FALSE)
par: Initial values for the parameters to be optimized over.
fn: A function to be minimized (or maximized), with first argument the vector of parameters over which minimization is to take place. It should return a scalar result.
method: The method to be used. See ‘Details’. Can be abbreviated.
hessian: Logical. Should a numerically differentiated Hessian matrix be returned?
- Colocaremos como input:
- a função perda criada
resid_quad() - um chute inicial dos parâmetros
- Note que a estimação pode ser mais ou menos sensível ao valores iniciais, dependendo do método de otimização utilizado
- O mais comum é encontrar como chute inicial um vetor de zeros
c(0, 0, 0), por ser mais neutro em relação ao sinal das estimativas - Em Econometria III, prof. Laurini recomendou usar método “Nelder-Mead” (padrão) com um chute inicial de zeros e, depois, usar suas estimativas como chute inicial para o método “BFGS”.
- Por padrão, temos o argumento
hessian = FALSE, coloqueTRUEpara calcularmos o erro padrão, estatística t e p-valor das estimativas
- a função perda criada
# Estimação por BFGS
theta_ini = c(0, 0) # Chute inicial de b0, b1
fit_ols2 = optim(par=theta_ini, fn=resid_quad,
yname="mpg", xname="hp", data=mtcars,
method="BFGS", hessian=TRUE)
fit_ols2
## $par
## [1] 30.09886054 -0.06822828
##
## $value
## [1] 447.6743
##
## $counts
## function gradient
## 31 5
##
## $convergence
## [1] 0
##
## $message
## NULL
##
## $hessian
## [,1] [,2]
## [1,] 64 9388
## [2,] 9388 1668556
(b) Máxima Verossimilhança
- ResEcon 703 - Week 6 (University of Massachusetts Amherst)
- A função objetivo é a função de verossimilhança e, ao contrário da função de soma de quadrado dos resíduos, queremos maximizá-la
- Em nosso exemplo, temos que estimar 3 parâmetros
Otimização Numérica para Máxima Verossimilhança
A função optim() do R será usada novamente para desempenhar a otimização numérica. Precisamos usar como input:
- Alguns valores inicias dos parâmetros, $\boldsymbol{\theta}^0 = \{ \beta_0, \beta_1, \sigma^2 \}$
- Uma função que tome esses parâmetros como um argumento e calcule a log-verossimilhança, $\ln{L(\boldsymbol{\theta})}$.
Como
optim()irá encontrar os parâmetros que minimizem a função objetivo, precisamos adaptar o output da função de log-verossimilhança (minimizaremos o negativo da log-lik).
A função log-verossimilhança é dada por $$ \ln{L(\beta_0, \beta_1, \sigma^2 | y, x)} = \sum^n_{i=1}{\ln{f(y_i | x_i, \beta_0, \beta_1, \sigma^2)}}, $$
em que a distribuição condicional de cada $y_i$ é
$$ y_i | x_i \sim \mathcal{N}(\beta_0 + \beta_1 x_i, \sigma^2) $$o que implica que
$$\varepsilon_i | x_i \sim N(0, \sigma^2)$$
- Acima, podemos ver que, para cada $x$, temos um valor ajustado $\hat{y} = \beta_0 + \beta_1 x$ e seus desvios $\varepsilon$ são normalmente distribuídos com a mesma variância $\sigma^2$
Passos para estimar uma regressão por máxima verossimilhança:
- Chutar valores iniciais de
- Calcular os valores ajustados, $\hat{y}$
- Calcular a densidade para cada $y_i$, $f(y_i | x_i, \beta_0, \beta_1, \sigma^2)$
- Calcular a log-verossimilhança, $\ln{L(\beta_0, \beta_1, \sigma^2 | y, x)} = \sum^n_{i=1}{\ln{f(y_i | x_i, \beta_0, \beta_1, \sigma^2)}}$
1. Chute de valores iniciais para $\beta_0, \beta_1$ e $\sigma^2$
- Note que, diferente da estimação por MQO, um dos parâmetros a ser estimado via MLE é a variância ( $\sigma^2$).
params = c(30, -0.06, 1)
# (b0, b1 , sig2)
2. Seleção da base de dados e variáveis
## Inicializando
yname = "mpg"
xname = "hp"
data = mtcars
# Extraindo as variáveis da base em vetores
y = as.matrix(data[yname])
x = as.matrix(data[xname])
# Extraindo os parâmetros de params
b0 = params[1]
b1 = params[2]
sig2 = params[3]
3. Cálculo dos valores ajustados e das densidades
## Calculando valores ajustados de y
yhat = b0 + b1 * x
head(yhat)
## hp
## Mazda RX4 23.40
## Mazda RX4 Wag 23.40
## Datsun 710 24.42
## Hornet 4 Drive 23.40
## Hornet Sportabout 19.50
## Valiant 23.70
4. Cálculo das densidades
$$ f(y_i | x_i, \beta_0, \beta_1, \sigma^2) $$## Calculando os pdf's de cada linha
ypdf = dnorm(y, mean = yhat, sd = sqrt(sig2))
head(round(ypdf, 4)) # Primeiros valores da densidade
## mpg
## Mazda RX4 0.0224
## Mazda RX4 Wag 0.0224
## Datsun 710 0.1074
## Hornet 4 Drive 0.0540
## Hornet Sportabout 0.2897
## Valiant 0.0000
sum(ypdf) # Verossimilhança
## [1] 2.447628
prod(ypdf) # Log-Verossimilhança
## [1] 2.201994e-121
- Agora, vamos juntar visualizar os 6 primeiros elementos dos objetos trabalhados:
# Juntando as bases e visualizando os primeiros valores
tab = cbind(y, x, yhat, round(ypdf, 4)) # arredondando ypdf (4 dígitos)
colnames(tab) = c("y", "x", "yhat", "ypdf") # renomeando colunas
head(tab)
## y x yhat ypdf
## Mazda RX4 21.0 110 23.40 0.0224
## Mazda RX4 Wag 21.0 110 23.40 0.0224
## Datsun 710 22.8 93 24.42 0.1074
## Hornet 4 Drive 21.4 110 23.40 0.0540
## Hornet Sportabout 18.7 175 19.50 0.2897
## Valiant 18.1 105 23.70 0.0000
- Como pode ser visto na base de dados juntada e nos gráficos abaixo, quanto mais próximo o valor ajustado for do valor observado de cada observação, maior será a densidade/probabilidade.



- Logo, a verossimilhança (produto de todas probabilidades) será maior quanto mais próximos forem os valores ajustados dos seus respectivos valores observados.
5. Calculando a Log-Verossimilhança
A log-verossimilhança é a soma do log de todas probabilidades:
$$ \mathcal{l}(\beta_0, \beta_1, \sigma^2) = \sum^{N}_{i=1}{\ln\left[ f(y_i | x_i, \beta_0, \beta_1, \sigma^2) \right]} $$## Calculando a log-verossimilhanca
loglik = sum(log(ypdf))
loglik
## [1] -277.8234
6. Criando a Função de Log-Verossimilhança
Juntando tudo que fizemos anteriormente, podemos criar uma função no R que calcular a função de log-verossimilhança.
## Criando funcao para calcular log-verossimilhanca MQO
loglik_lm = function(params, yname, xname, data) {
# Extraindo as variáveis da base em vetores
y = as.matrix(data[yname])
x = as.matrix(data[xname])
# Extraindo os parâmetros de params
b0 = params[1]
b1 = params[2]
sig2 = params[3]
## Calculando valores ajustados de y
yhat = b0 + b1 * x
## Calculando os pdf's de cada linha
ypdf = dnorm(y, mean = yhat, sd = sqrt(sig2))
## Calculando a log-verossimilhanca
loglik = sum(log(ypdf))
## Retornando o negativo da log-verossimilanca
-loglik # Negativo, pois optim() minimiza e queremos maximizar
}
7. Otimização
Tendo a função objetivo, usaremos optim() para minimizar
Aqui, minimizamos o negativo da log-Verossimilhança para maximizarmos (funçãooptim() apenas minimiza).
## Maximizando a função log-verossimilhança MQO
mle = optim(par = c(0, 0, 1), fn = loglik_lm,
yname = "mpg", xname = "hp", data = mtcars,
method = "BFGS", hessian = TRUE)
## Mostrando os resultados da otimização
mle
## $par
## [1] 30.09908613 -0.06822967 13.99015277
##
## $value
## [1] 87.61931
##
## $counts
## function gradient
## 84 28
##
## $convergence
## [1] 0
##
## $message
## NULL
##
## $hessian
## [,1] [,2] [,3]
## [1,] 2.287323e+00 3.355217e+02 -3.520739e-06
## [2,] 3.355217e+02 5.963323e+04 5.199112e-04
## [3,] -3.520739e-06 5.199112e-04 8.174375e-02
## Calculando os erros padrão
# hessiano > inversa p/ V_bhat > diagnonal > raiz quadrada
mle_se = sqrt( diag( solve(mle$hessian) ) )
# Visualizando as estimativas e os erros padrão
cbind(mle$par, mle_se)
## mle_se
## [1,] 30.09908613 1.58205585
## [2,] -0.06822967 0.00979809
## [3,] 13.99015277 3.49762080
(c) Método dos Momentos
Computing Generalized Method of Moments and Generalized Empirical Likelihood with R (Pierre Chaussé)
Generalized Method of Moments (GMM) in R - Part 1 (Alfred F. SAM)
Para estimar via GMM precisamos construir vetores relacionados aos seguintes momentos:
Note que estes são os momentos relacionados ao MQO, dado que este é um caso particular do GMM. Os análogos amostrais são
$$ \frac{1}{N} \sum^N_{i=1}{\hat{\varepsilon}_i} = 0 \qquad \text{ e } \qquad \frac{1}{N} \sum^N_{i=1}{\hat{\varepsilon}_i.x_i} = 0 $$Podemos calcular os dois momentos amostrais em uma única multiplicação matricial. Considere:
$$ \hat{\boldsymbol{\varepsilon}} = \begin{bmatrix} \varepsilon_1 \\ \varepsilon_2 \\ \vdots \\ \varepsilon_N \end{bmatrix} \qquad \text{e} \qquad \boldsymbol{x} = \begin{bmatrix} x_1 \\ x_2 \\ \vdots \\ x_N \end{bmatrix} $$Vamos juntar uma coluna de 1’s com $\boldsymbol{x}$ e definir a matriz: $$ \boldsymbol{X} = \begin{bmatrix} 1 & \varepsilon_1 \\ 1 & \varepsilon_2 \\ \vdots & \vdots \\ 1 & \varepsilon_N \end{bmatrix} $$
Fazendo a multiplicação matricia entre $\hat{\boldsymbol{\varepsilon}}$ e $\boldsymbol{X}$, temos:
$$ \hat{\boldsymbol{\varepsilon}}' \boldsymbol{X}\ =\ \begin{bmatrix} \varepsilon_1 & \varepsilon_2 & \cdots & \varepsilon_N \end{bmatrix} \begin{bmatrix} 1 & x_1 \\ 1 & x_2 \\ \vdots & \vdots \\ 1 & x_N \end{bmatrix}\ =\ \begin{bmatrix} \frac{1}{N} \sum^N_{i=1}{\hat{\varepsilon}} & \frac{1}{N} \sum^N_{i=1}{\hat{\varepsilon}.x_i} \end{bmatrix} $$Note que o vetor resultante são exatamente os momentos amostrais.
Otimização Numérica para GMM
1. Chute de valores iniciais para $\beta_0$ e $\beta_1$
- Vamos criar um vetor com possíveis valores de $\beta_0, \beta_1$:
params = c(30, -0.06)
yname = "mpg"
xname = "hp"
data = mtcars
2. Seleção da base de dados e variáveis
# Extraindo as variáveis da base em vetores
y = as.matrix(data[yname])
x = as.matrix(data[xname])
X = cbind(1, x)
# Extraindo os parâmetros de params
b0 = params[1]
b1 = params[2]
sig2 = params[3]
3. Cálculo dos valores ajustados e dos resíduos
## Valores ajustados de y
yhat = b0 + b1 * x
## Resíduos
e_hat = y - yhat
4. Criação da matriz de momentos
- Note que
$\hat{\boldsymbol{\varepsilon}}' X$ um vetor dos momentos amostrais, mas a função
gmm()exige uma matriz com multiplicação elemento a elemento do resíduo $\hat{\boldsymbol{\varepsilon}}$ com as covariadas $\boldsymbol{X}$ (neste caso: constante e hp), na forma:
$$ \hat{\boldsymbol{\varepsilon}} \times \boldsymbol{X}\ =\ \begin{bmatrix} \varepsilon_1 \\ \varepsilon_2 \\ \vdots \\ \varepsilon_N \end{bmatrix} \times \begin{bmatrix} 1 & x_1 \\ 1 & x_2 \\ \vdots & \vdots \\ 1 & x_N \end{bmatrix}\ =\ \begin{bmatrix} \varepsilon_1 & \varepsilon_1.x_1 \\ \varepsilon_2 & \varepsilon_2.x_2 \\ \vdots & \vdots \\ \varepsilon_N & \varepsilon_N.x_N \end{bmatrix} $$
Note que, para fazer o GMM no R, não devemos tirar a média de cada coluna (a própria função gmm() fará isso).
# Matriz de momentos
m = as.numeric(e_hat) * X
head(m) # 6 primeiras linhas
## hp
## Mazda RX4 -2.40 -264.00
## Mazda RX4 Wag -2.40 -264.00
## Datsun 710 -1.62 -150.66
## Hornet 4 Drive -2.00 -220.00
## Hornet Sportabout -0.80 -140.00
## Valiant -5.60 -588.00
apply(m, 2, sum) # média de cada coluna
## hp
## -35.46 -6400.62
- Note que, como multiplicamos a constante igual a 1 com os desvios $\varepsilon$, a 1ª coluna corresponde ao momento $E(\varepsilon)=0$ (mas sem tomar a esperança).
- Já as colunas 2 e 3 correspodem ao momento $E(\varepsilon'X)=0$ para as variáveis hp e wt (também sem tomar a esperança).
- Logicamente, para estimar por GMM, precisamos escolher os parâmetros
$\theta = \{ \beta_0, \beta_1 \}$ que, ao tomar a esperança em cada um destas colunas, se aproximem ao máximo de zero. Isso será feito via função
gmm()(semelhante à funçãooptim())
5. Criação de função com os momentos
- Vamos criar uma função que tem como input um vetor de parâmetros (
params) e uma base de dados (data), e que retorna uma matriz em que cada coluna representa um momento. - Essa função incluirá todos os comandos descritos nos itens 1 a 4 (que, na verdade, apenas foram feitos por didática).
mom_ols = function(params, list) {
# No GMM, só pode ter 1 input que não sejam os parâmetros
# Por isso, foi incluído uma lista com 3 argumentos
yname = list[[1]]
xname = list[[2]]
data = list[[3]]
# Extraindo as variáveis da base em vetores
y = as.matrix(data[yname])
x = as.matrix(data[xname])
X = cbind(1, x)
# Extraindo os parâmetros de params
b0 = params[1]
b1 = params[2]
sig2 = params[3]
## Valores ajustados de y
yhat = b0 + b1 * x
## Resíduos
e_hat = y - yhat
## Matriz de momentos
m = as.numeric(e_hat) * X
m # output da função
}
6. Otimização via função gmm()
- A função
gmm(), assim como aoptim(), recebe uma função como argumento. - No entanto, ao invés de retornar um valor, a função que entra no
gmm()retorna uma matriz, cujas médias das colunas queremos aproximar de zero.
library(gmm)
## Carregando pacotes exigidos: sandwich
gmm_lm = gmm(g=mom_ols,
x=list(yname="mpg", xname="hp", data=mtcars), # argumentos função
t0=c(0,0), # chute inicial de params
wmatrix = "optimal", # matriz de ponderação
optfct = "nlminb" # função de otimização
)
summary(gmm_lm)$coefficients
## Estimate Std. Error t value Pr(>|t|)
## Theta[1] 30.09886038 2.53115147 11.891371 1.312350e-32
## Theta[2] -0.06822828 0.01540378 -4.429319 9.453096e-06